text_well_length <- "
well_length
500
1000
1500
2000
2500
3000
3500
4000
4500
5000
5500
6000
6500
7000
7500
8000
8500
"
df_wl <- read.table(text = text_well_length, header = TRUE)
df_wl$liquid_rate <- 0
df_wl
#> well_length liquid_rate
#> 1 500 0
#> 2 1000 0
#> 3 1500 0
#> 4 2000 0
#> 5 2500 0
#> 6 3000 0
#> 7 3500 0
#> 8 4000 0
#> 9 4500 0
#> 10 5000 0
#> 11 5500 0
#> 12 6000 0
#> 13 6500 0
#> 14 7000 0
#> 15 7500 0
#> 16 8000 0
#> 17 8500 0The table above is equivalent to this sequence:
This function will go grab the horizontal well model for analysis.
get_prosper_model <- function(model) {
# get the well model
models_dir <- system.file("models", package = "rOpenserver")
model_file <- file.path(models_dir, model)
if (!file.exists(model_file)) stop("Model not found ...") else
return(model_file)
}
get_prosper_model(model = "HORWELLDP.OUT")
#> [1] "C:/Users/ipm/AppData/Local/Temp/RtmpY9Lvax/temp_libpath12c47481070/rOpenserver/models/HORWELLDP.OUT"# iterate through all well length values of interest
i <- 1
for (wlen in df_wl[["well_length"]]) {
prosper_server$DoSet("PROSPER.SIN.IPR.Single.WellLen", wlen) # set well length
prosper_server$DoSet("PROSPER.SIN.IPR.Single.HorizdP[0].ZONLEN", wlen) # set length in zone 1
prosper_server$DoCmd("PROSPER.anl.SYS.CALC") # do calculation
df_wl[["liquid_rate"]][i] <- # store liquid rate result in dataframe
as.double(prosper_server$DoGet("PROSPER.OUT.SYS.RESULTS[0][0][0].SOL.LIQRATE"))
cat(wlen, df_wl[["liquid_rate"]][i], "\n")
i <- i + 1
}
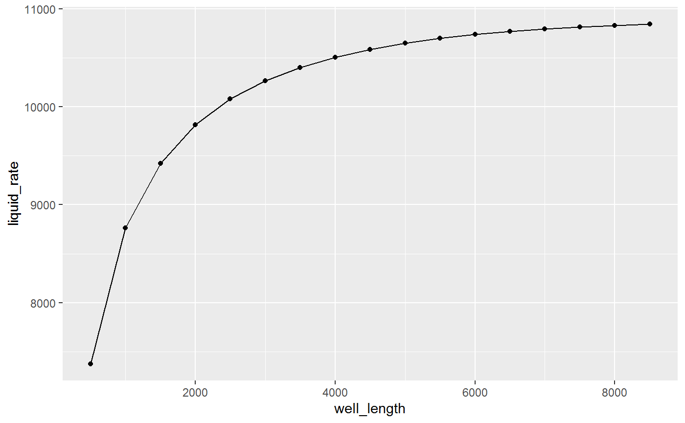
#> 500 7376.862
#> 1000 8763.273
#> 1500 9422.393
#> 2000 9815.624
#> 2500 10077.37
#> 3000 10263.01
#> 3500 10400.36
#> 4000 10505.03
#> 4500 10585.19
#> 5000 10647.39
#> 5500 10696.97
#> 6000 10736.87
#> 6500 10768.8
#> 7000 10794.94
#> 7500 10813.41
#> 8000 10830.17
#> 8500 10843.63
df_wl
#> well_length liquid_rate
#> 1 500 7376.862
#> 2 1000 8763.273
#> 3 1500 9422.393
#> 4 2000 9815.624
#> 5 2500 10077.367
#> 6 3000 10263.006
#> 7 3500 10400.360
#> 8 4000 10505.026
#> 9 4500 10585.193
#> 10 5000 10647.387
#> 11 5500 10696.969
#> 12 6000 10736.874
#> 13 6500 10768.802
#> 14 7000 10794.942
#> 15 7500 10813.414
#> 16 8000 10830.166
#> 17 8500 10843.626